查看: 1488|回复: 6

超NB的小学生作文

[复制链接]

苍之风云

211

主题

806

回帖

0

精华

無伈插柳柳成蔭

?序曲? 发表于 2011-3-7 21:32:10 | 显示全部楼层 |阅读模式

唯有论坛启用QQ注册,使用QQ就可以登陆论坛,享用更多功能,让你轻松玩转论坛。

您需要 登录 才可以下载或查看,没有账号?论坛注册

×
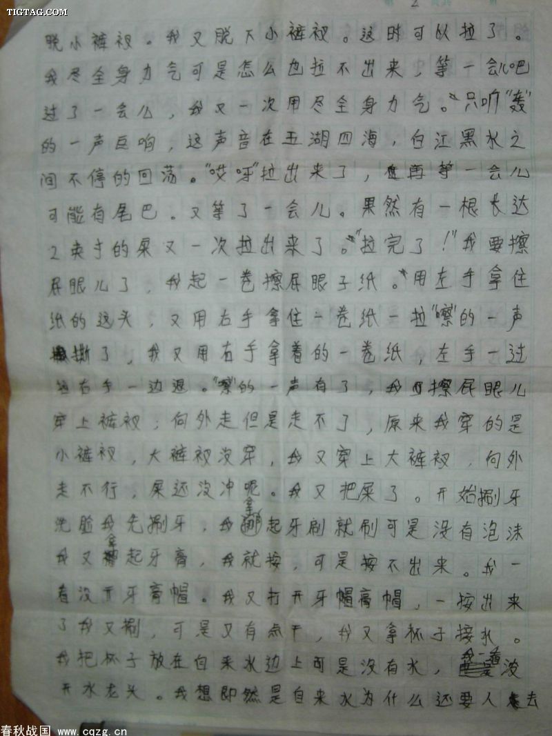
超搞笑
01.jpg
02.jpg
03.jpg
04.jpg

管理员

665

主题

6万

回帖

341

精华

小动物的保护神

双子座A版双子座B版蛇有爱勋章组终身成就奖优秀斑竹奖(终身)特殊贡献奖(终身)金点子奖(终身)原创先锋奖(终身)贴图大师奖(终身)唯有一等勇士勋章慈善家勋章灌水天才奖(终身)

第六天不良 发表于 2011-3-7 21:34:15 | 显示全部楼层
语文老师得无语了
我要说一句 收起回复
回复

使用道具 举报

苍之风云

385

主题

2609

回帖

0

精华

每天瞌睡都好来~~~

囍姐 发表于 2011-3-7 21:42:04 | 显示全部楼层
呵呵 写滴很真实-。-
我要说一句 收起回复
回复

使用道具 举报

呢喃的歌声

7

主题

48

回帖

0

精华

纪念重生

◆°沉べ情" 发表于 2011-3-7 22:08:34 | 显示全部楼层
果然中国的孩子特别喜欢灌水
连小学生都喜欢。。
这文章好水。。。
我要说一句 收起回复
回复

使用道具 举报

超级版主

1295

主题

2万

回帖

31

精华

相遇皆是缘,缘尽莫强求

天蝎座A版天蝎座B版有爱勋章组终身成就奖优秀斑竹奖(终身)宣传大使奖(终身)特殊贡献奖(终身)金点子奖(终身)原创先锋奖(终身)贴图大师奖(终身)唯有一等勇士勋章慈善家勋章白衣天使(终身)灌水天才奖(终身)

小迷糊。 发表于 2011-3-7 22:13:05 | 显示全部楼层
文章写的太有深度了- -
我要说一句 收起回复
回复

使用道具 举报

荣誉会员

91

主题

5697

回帖

0

精华
心心. 发表于 2011-3-7 22:57:16 | 显示全部楼层
这孩子,真有想法- -下半身成了一个“人”字
我要说一句 收起回复
回复

使用道具 举报

荣誉会员

35

主题

1095

回帖

0

精华

什么 多可以...

美眉护身符慈善家勋章新人进步奖(终身)

嗜血玫瑰 发表于 2011-3-8 00:13:01 | 显示全部楼层
       小孩很犀利
我要说一句 收起回复
我匍匐在佛前,不敢求千年情缘,只求再度轮回时,莫要遭遇,红尘劫!
回复

使用道具 举报

您需要登录后才可以回帖 登录 | 论坛注册

本版积分规则

Archiver|手机版|小黑屋|唯有魔力 |网站地图

Powered by Discuz! X3.5

© 2001-2013 Comsenz Inc. DesignSingcere!

GMT+8, 2025-10-27 07:56 , Processed in 0.057848 second(s), 23 queries , Redis On.